用手机扫描二维码
在手机上继续观看

前几天,有一位老铁找我咨询,给孩子买重大疾病保险的问题。我并没有当场给到他答案,让他等我写这篇文章。
这位老铁给孩子买的这一份重大疾病保险,保额40万,保障到65岁,如果在65岁前,出现重大疾病,则进行理赔,合同终止。如果没有出现理赔,那么在孩子65岁的时候,同样退还保额。然后,他现在每年交费5800多元,要交20年。

乍一看,感觉很划算嘛,就当给孩子存钱,20年一共交费11.6万,然后等到孩子65岁的时候,还可以得到40万。关键是过程当中,还有40万的重疾保额。想想就觉得很美好!然而事实真的如此吗?
碰巧,前几天我给一位朋友推荐的,少儿定期重大疾病保险。刚刚好也是40万的保额,但是,是属于消费型的,交费20年保障20年。然后每年保费200块钱不到。(有图有真相)

那接下来,我们一起来算算账。这位给孩子买保障到65岁的朋友,每年相当于多交了5600元。(虽然孩子年龄不同,保费可能会有差距,我们不要在意这些细节,为了方便计算,假设都是零岁宝宝。)
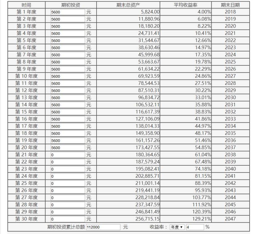
那我们把这笔多交的钱,拿来存在余额宝里面,假设每年4%的收益。我们暂且不说,做点定投啥的,因为做个20年的定投,就算定投沪深300指数基金,收益也肯定不止4%。那20年后有多少钱呢?请看以下表格:
#p#分页标题#e#
每年存5600元,存20年,假设4%的年化收益率,20年后,有173000多元。并且20年后,如果是把这17万,继续存在余额宝里,同样算4%的年化收益,每年利息也有将近7000元。
那我们再来测算一下,孩子20岁的时候,买一个40万额度的重大疾病保险,要多少钱?请看以下截图,我们设置10年交费,每年只要4500多元。就可以保障到孩子70岁,(主要是这款产品,没有65岁的选项)我们还多送了5年的保障。

那相当于,从孩子20岁到30岁这十年当中,我们就从7000多的收益当中拿4500元去给孩子买保险。每年还有2500多的剩余利息,那我们17万的本金还在不断增多,十年下来,20万也就差不多了。
我再来算算这20万的本钱,如果我们还是继续存在余额宝里,到孩子65岁的时候有多少钱?这笔钱现在已经存了30年,还有35年的时间,我们输入200000的本金,同样4%的年化收益率,计算得出结果是:78万多!

回到最开始,保险公司在孩子65岁的时候,赔付的保额是多少来着?对了,是40万。那我们剩下的38万,哪里去了?
其实这位朋友给孩子买的还不是终身型的重疾保险,目前市面上,有一些热销的少儿终身型重疾,费率还要贵一些。所以,如果我们是给孩子购买终身型的重疾保险,可能最后亏损的远远不止这38万元哦!
- 暂无评论...
- ·两个贷款,一个40万,一个2... 8回答
- ·有达人知道吗上海.银行个人无... 8回答
- ·平安银行个人信用贷款2000... 8回答
- ·经济适用房可以在银行抵押贷款... 8回答
- ·浙江阿里巴巴小额贷款有限公司... 8回答
- ·宜昌可以办理无抵押无担保信用... 8回答
- ·招商银行对小微企业申请贷款具... 8回答
- ·农村信用社贷款人死亡用还款吗 8回答
- ·房产抵押贷款到哪家银行好? 8回答
- ·今年国家允许青年小额贷款,如... 8回答
- ·凹凸世界赤字组怎么来的 0回答
- ·花旗银行在前苏联高息揽储后拒... 4回答
- ·凹凸世界赤字组怎么来的 6回答
- ·云南省农村信用社怎么申请免息... 10回答
- ·云南省农村信用社怎么申请免息... 0回答
- ·花旗银行在前苏联高息揽储后拒... 0回答
- ·花旗银行在前苏联高息揽储后拒... 4回答
- ·凹凸世界赤字组怎么来的 0回答
- ·凹凸世界赤字组怎么来的 0回答
- ·信用卡在线上办还是线下办好 0回答
-
2018年11月最... 2018年11月最新网贷口子,2018年11月最...
-
急需钱,是信用贷款... 这或许道出很多人的心声,因为现在很多人对这两者的...
-
无抵押贷款的几个错... 现在市场主流贷款形式之一的银行无抵押贷款受到大众...
-
广州信用贷款被拒的... 今天,小编就和大家一起来探讨 广州信用贷款被拒的...
-
广州信用贷款利息没... 最近这两年来,银行的利润空间越来越收窄,越来越多...
-
教你辨别无抵押贷款... 随着市场经济的发展及消费观念的改变,人们对贷款的...
-
长沙将出台社会保险补贴实施细... 长沙将出台社会保险补贴实施细则,向社会征意见 小...
-
琼海楼市限购政策2017 继4月14日海南省发布全省范围内的限购政策后,琼...
-
重庆市綦江区人力社保局全面落... 重庆市綦江区人力社保局全面落实惠民利民政策 一是...
-
鼓励事业单位创业政策 3月22日,人力资源社会保障部印发了《关于支持和...
-
2016南海城乡居民养老金上... 近日,从区 社保 局获悉,根据佛山市人力资源和社...
-
陕西养老金上调最新消息201... 陕西养老金上调最新消息2016 陕西养老金调整方...
提交申请后,客服会拨打您的手机,为您免费定制贷款方案。


踩
赞